LOGO OA教程 ERP教程 模切知识交流 PMS教程 CRM教程 开发文档 其他文档  
 
网站管理员

图像处理的相关数学知识

admin
2023年2月27日 11:21 本文热度 1727

最近研究图像处理,发现其中有许多相关的数学知识,所以我在网上找了一下。然后在这里总结一下。

梯度:

说起梯度我们首先想到的时数学上的一个公式


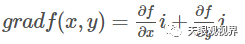
这个公式表示的是函数f(x,y)f(x,y) 在点 P(x,y)P(x,y) 的梯度,记作gradf(x,y)gradf(x,y),或▽f(x,y)▽f(x,y)。

在中表示方法是数学中的表示方法。其实可以发现如果上述的函数是一个单变量的函数,可以发现梯度就是导数,或者,对于一个线性函数,也就是线的斜率。当然光看着这个梯度公式还是比较抽象,所以现在说说它在物理学中的实际意义,这样更有一个直观的认识。

设体系中某处的物理参数(如温度、速度、浓度等)为w,在与其垂直距离的dy处该参数为w+dw,则称为该物理参数的梯度,也即该物理参数的变化率。如果参数为速度、浓度、温度或空间,则分别称为速度梯度、浓度梯度、温度梯度或者空间梯度。其实这个概念从他的表达式就可以看的出来。

在向量微积分中,标量场的梯度是一个向量场。标量场中某一点上的梯度指向标量场增长最快的方向,梯度的长度是这个最大的变化率。

那么重点来了,这个梯度在图像处理中到底表示什么意思呢。

在图像处理中我们可以把图像看成一个离散的函数,这样在里面对每一个像素值进行求导操作这样就可以得到图像的梯度。

图像梯度: G(x,y) = dx i + dy j;

dx(i,j) = I(i+1,j) - I(i,j);

dy(i,j) = I(i,j+1) - I(i,j);

其中,I是图像像素的值(如:RGB值),(i,j)为像素的坐标。

图像梯度一般也可以用中值差分:

dx(i,j) = [I(i+1,j) - I(i-1,j)]/2;

dy(i,j) = [I(i,j+1) - I(i,j-1)]/2;

这样我们可以发现梯度表示的是图像像素值的变化情况。当然求解图像梯度还有很多种的方法。可以利用各种算子进行求解操作。

散度

散度的本质是通量对体积的变化率,而且散度绝对值的大小反应了单位体积内源的强度。如果divA>0表明改点处有正源;如果divA<0表明该点处有负源;如果divA=0表明该点无源。

什么话到底什么意思呢。下面引用知乎上面一个大神的解释。

用水流来解释,散度的物理意义可以叙述为:

如果一点的散度大于0,那么在这一点有一个水龙头不断往外冒水(称为源点)

如果一点的散度小于0,那么在这一点有一个下水道,总有一些水只进不出(称为汇点)

如果一点的散度等于0,那么请放心,在这个点周围的小区域里,单位时间进来多少水就出去多少水。

根据上面我们可以得出散度的两个具体的定义

第一种定义方式和坐标系无关:


第二种定义方式则是在直角坐标系下进行的:


可以证明,在极限存在的情况下,两种定义是等价的。因此也常直接用 ▽⋅F▽⋅F代表 F的散度。

从定义中还可以看出,散度是向量场的一种强度性质,就如同密度、浓度、温度一样,它对应的广延性质是一个封闭区域表面的通量。一般我们在图像处理中使用第二个公式的概率还是比较大的。一般会和梯度场一起连着用。其实在图像处理中求解某一个图像的散度可以使用拉普拉斯算子进行求解。这样可以直接求解得到一个图像的散度。

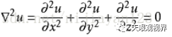
拉普拉斯方程


其中∇²为拉普拉斯算子,此处的拉普拉斯方程为二阶偏微分方程。从上面公式的形式我们可以发现为什么说上面散度的求解方式可以利用拉普拉斯算子进行求解了。

泊松方程

其实拉普拉斯方程式泊松方程的一个简化版。

泊松方程为△φ=f

在这里 △代表的是拉普拉斯算符(也就是哈密顿算符▽的平方),而 f 和 φ 可以是在流形上的实数或复数值的方程。可以发现泊松方程比拉普拉斯方程后面结果多了一个式子。f=0那么久可以得到了拉普拉斯方程了。

为了方便大家跟方便快捷的学习,小编准备了一份高等数学思维导图,需要的朋友公众号回复:高等数学思维导图,即可领取学习资料;





该文章在 2023/2/27 11:21:40 编辑过
关键字查询
相关文章
正在查询...
点晴ERP是一款针对中小制造业的专业生产管理软件系统,系统成熟度和易用性得到了国内大量中小企业的青睐。
点晴PMS码头管理系统主要针对港口码头集装箱与散货日常运作、调度、堆场、车队、财务费用、相关报表等业务管理,结合码头的业务特点,围绕调度、堆场作业而开发的。集技术的先进性、管理的有效性于一体,是物流码头及其他港口类企业的高效ERP管理信息系统。
点晴WMS仓储管理系统提供了货物产品管理,销售管理,采购管理,仓储管理,仓库管理,保质期管理,货位管理,库位管理,生产管理,WMS管理系统,标签打印,条形码,二维码管理,批号管理软件。
点晴免费OA是一款软件和通用服务都免费,不限功能、不限时间、不限用户的免费OA协同办公管理系统。
Copyright 2010-2025 ClickSun All Rights Reserved